潔凈度級別的檢驗應符合下列要求:
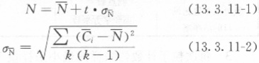
1. 潔凈手術室和潔凈輔助用房潔凈度級別的檢測,應在系統至少已運行30min,并確認風速、換氣次數、檢漏和靜壓差的檢測無明顯問題之后進行。對大于等于0.5 μm和大于等于5μm的微粒,檢測結果均應同時滿足下列條件:應由各點平均含塵濃度C和室平均濃度N按下式計算出N,并應小于《GB 50333-2013 醫院潔凈手術部建筑技術規范》表3.0.3-1和表3.0.3-2中規定級別的上限濃度。

式中:t 一單側分布系數,置信度上限達95%時,應按表 13.3.11-1取值。
表13.3.11-1 系數t
測點數 | 2 | 3 | 4 | 5 | 6 | 7 | 8 | 9 |
系數t | 6.31 | 2. 92 | 2. 35 | 2. 13 | 2. 02 | 1. 94 | 1.90 | 1.86 |
注:當測點數為9點以上時,N =/N。
2. 當送風口集中布置時,應對手術區和周邊區分別檢測測點數和位置應符合表13.3.11-2的規定,測點數不少于3點: 當附近有顯著障礙物時,可適當避開;應避開送風口止下方:當送風口分散布置時,應按全室統一布點檢測,測點可均布,但不應布置在送風口正下方。
表13.3.11-2 測點位置表

3. 每次粒子計數器采樣的最小采樣量5級區域應為8.6L, 以下各級區域應為2.83L。
4. 測點布置應在距地面0.8m高的平面上,在手術區檢測時應無手術臺。當手術臺已固定時,臺面上測點應高出臺面0.25m,并應記錄在案。
5. 當在5級區域檢測時,采樣口應對著氣流方向;當在其他級別區域檢測時,采樣口均應向上。
6. 當檢測含塵濃度時,檢測人員不得多于2人,都應穿潔凈工作服,處于測點下風向的位置,減少動作。
7. 當檢測含塵濃度時.除無影燈外,手術室照明燈應全部打開。


